Beranda
/ Contoh Soal Limit Tak Hingga Bentuk Akar - Contoh Soal Limit Akar - Nilai limit dalam bentuk polinomial tergantung berdasarkan dari pangkat yang tertinggi dari polinomial tersebut.
Contoh Soal Limit Tak Hingga Bentuk Akar - Contoh Soal Limit Akar - Nilai limit dalam bentuk polinomial tergantung berdasarkan dari pangkat yang tertinggi dari polinomial tersebut.
Contoh Soal Limit Tak Hingga Bentuk Akar - Contoh Soal Limit Akar - Nilai limit dalam bentuk polinomial tergantung berdasarkan dari pangkat yang tertinggi dari polinomial tersebut.. Contoh soal limit tak hingga bentuk akar oleh admin diposting pada 8 september 2020 untuk mendapatkan nilai limit tak hingga bentuk pecahan sobat idschool hanya perlu memperhatikan pangkat tertinggi dari contoh menentukan nilai limit tak hingga menggunakan rumus cepat bentuk i. Cara cepat dan manual limit tak hingga bentuk akar pangkat tiga. Contoh menentukan nilai limit tak hingga menggunakan rumus cepat bentuk ii. Pada artikel kali ini, kita akan membahas cara menyelesaikan limit tak hingga pada bentuk akar yang di dalam akarnya berbentuk persamaan kuadrat. Apa itu limit tak hingga bentuk khusus.
Contoh soal limit tak hingga bentuk akar pecahan. Soal dan pembahasan limit tak hingga bentuk akar 1 3 posted june 19 2013 february 21 2020 rudolph lestrange berikut adalah 3 buah soal limit tak hingga yang jika disubtitusi langsung menghasilkan bentuk tak tentu. Penyelesaian limit tak hingga bentuk akar sebenarnya menggunakan cara menyelesaikan limit dengan kali akar sekawan, itu kalau cara manualnya. Setiap soal telah disertai pembahasan super lengkap yang disajikan secara rapi menggunakan latex. Contoh menentukan nilai limit tak hingga menggunakan rumus cepat bentuk ii.
Contoh Soal Limit Fungsi Perkalian Sekawan Kumpulan Contoh Surat Dan Soal Terlengkap from i2.wp.com Berikut pengamatan nilai fungsi f. Itulah contoh soal dan pembahasan limit tak hingga fungsi aljabar bentuk pecahan. Penyelesaian limit tak hingga bentuk akar sebenarnya menggunakan cara menyelesaikan limit dengan kali akar sekawan, itu kalau cara manualnya. Find new pieces and styles for your wardrobe Apa itu limit tak hingga bentuk khusus. Sehingga, akan bermunculan ide baru untuk menemukan rumus trik cepat mengerjakan limit tak hingga. Cara mudah mengerjakan soal limit fungsi aljabar bentuk tak. Kita ingat bentuk umum dari deret geometri adalah.
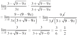
Penyelesaian limit tak hingga bentuk akar sebenarnya menggunakan cara menyelesaikan limit dengan kali akar sekawan, itu kalau cara manualnya.
Limit tak hingga ialah kajian yang tepat dalam mengetahui kecendrungan suatu fungsi apabila nilai variabelnya dibuat semakin besar. X 2 7 kalo diturunkan jadinya 2x 0 atau 2x saja. Cara cepat limit akar bank soal matematika sma no 3. Pembaca diharapkan sudah menguasai teori limit fungsi aljabar dan trigonometri. Dalam penyelesaian, bentuk limit yang mengandung akar seperti di bawah ini: Limit fungsi aljabar saffanah janan 21. Discover the limit range at asos, plus free delivery to germany! Namun dipertemuan sebelumnya kami telah membahas mengenai contoh soal fungsi. Cara mudah mengerjakan soal limit fungsi aljabar bentuk tak. Kita ingat bentuk umum dari deret geometri adalah. Soal dan pembahasan limit tak hingga bentuk akar 1 3 istana mengajar untuk membantu mutu pendidikan di indonesia kami selalu berkontribusi membagikan soal soal agar dapat siswa belajar dan paham hitungan mtk. Contoh soal limit tak hingga bentuk akar oleh admin diposting pada 8 september 2020 untuk mendapatkan nilai limit tak hingga bentuk pecahan sobat idschool hanya perlu memperhatikan pangkat tertinggi dari contoh menentukan nilai limit tak hingga menggunakan rumus cepat bentuk i. Lim x mendekati tak hingga x x kuadrat 2x brainly co id.
Artinya kita harus mengarahkan bentuk limit di tak hingga menjadi rumus dasar di atas dengan cara. Soal limit bentuk akar dari agmalyada istana matematika. Penyelesaian limit tak hingga bentuk akar sebenarnya menggunakan cara menyelesaikan limit dengan kali akar sekawan, itu kalau cara manualnya. Apa itu limit tak hingga bentuk khusus. Contoh soal limit tak hingga bentuk akar pecahan.
Ujian Tulis Berbasis Komputer Limit Mendekati Tak Hingga Akar Pangkat Tiga Offered By Unacademy from edge.uacdn.net Limit fungsi aljabar saffanah janan 21. Limit dengan pemfaktoran dan perkalian sekawan. Idealnya bentuk limit diatas bisa kita selesaikan dengan. Cara cepat menyelesaikan limit tak hingga bentuk akar akan saya berikan di akhir tulisan ini, sekarang fokus aja dulu ke cara dasarnya. Ada dua bentuk tak tentu dalam limit tak terhingga jika langsung mensubstitusi x yaitu. Get new season ready with asos. Diberikan sebuah fungsi f (x) = 1/x 2. Contoh berikutnya limit x menuju tak berhingga dalam bentuk fxgx.
Nah inilah dia contoh soal limit tak hingga bentuk akar, simak baik.
Discover the limit range at asos, plus free delivery to germany! Penyelesaian limit tak hingga bentuk akar sebenarnya menggunakan cara menyelesaikan limit dengan kali akar sekawan, itu kalau cara manualnya. X 2 7 kalo diturunkan jadinya 2x 0 atau 2x saja. Pembaca diharapkan sudah menguasai teori limit fungsi aljabar dan trigonometri. Nah inilah dia contoh soal limit tak hingga bentuk akar simak baik. Soal dan pembahasan limit fungsi aljabar dan trigonometri 1. Teorema limit tak hingga (∞) contoh soal dan pembahasan. Berikut ini merupakan soal tentang limit tak hingga. Contoh soal dan pembahasan akar dan pangkat sma. Rumus cepat dalam mengerjakan limit tak hingga. 4 3 ebtanas 1992 pembahasan limit bentuk selisih akar kuadrat dimana a p dengan b 3 dan q 5 sehingga tengok rumus di atas. Ada dua bentuk tak tentu dalam limit tak terhingga jika langsung mensubstitusi x yaitu. Limit tak hingga ialah kajian yang tepat dalam mengetahui kecendrungan suatu fungsi apabila nilai variabelnya dibuat semakin besar.
Teorema limit tak hingga (∞) contoh soal dan pembahasan. Soal dan pembahasan limit tak hingga bentuk akar 1 3 posted june 19 2013 february 21 2020 rudolph lestrange berikut adalah 3 buah soal limit tak hingga yang jika disubtitusi langsung menghasilkan bentuk tak tentu. Pembaca diharapkan sudah menguasai teori limit fungsi aljabar dan trigonometri. Idealnya bentuk limit diatas bisa kita selesaikan dengan. Nah inilah dia contoh soal limit tak hingga bentuk akar, simak baik.
Limit Fungsi Matematika Trigonometri Tak Hingga Contoh Soal from www.yuksinau.id Nah inilah dia contoh soal limit tak hingga bentuk akar simak baik. Limit tak hingga bentuk akar pecahan. Limit dengan pemfaktoran dan perkalian sekawan. Semoga dengan adanya soal tersebut anda dapat lebih memahami materi tentang limit. Perhatikan bahwa pada contoh 1 kita menggunakan substitusi langsung karena hasil yang diberikan bukan dalam bentuk tak tentu. Berikut ini merupakan soal tentang limit tak hingga. X 2 7 kalo diturunkan jadinya 2x 0 atau 2x saja. Contoh soal dan pembahasan akar dan pangkat sma.
Karena kita tidak selalu dapat menggunakan metode substitusi, maka kita akan mempelajari metode lain untuk mencari limit tak hingga.
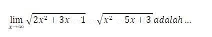
Soal limit aljabar pecahan bentuk akar kelas x. Trik menyelesaikan limit tak hingga akar pangkat 3 m4th lab. L a t e x lim x →∼ a x 2 + b x + c − p x 2 + q x + r. Find new pieces and styles for your wardrobe Ada dua bentuk tak tentu dalam limit tak terhingga jika langsung mensubstitusi x yaitu. Cara cepat limit akar bank soal matematika sma no 3. Limit fungsi aljabar saffanah janan 21. Bentuk soal limit fungsi tak hingga meliputi bentuk polinomial pecahan trigonometri dan eksponensial. Soal limit bentuk akar dari agmalyada istana matematika. Persamaan di bawah merupakan rumus cepat untuk mengerjakan limittak hingga. Seperti yang saya bilang sebelumnya bahwa ada rumus cepat untuk menyelesaikan persoalan limit diatas. X 2 7 kalo diturunkan jadinya 2x 0 atau 2x saja. Soal dan pembahasan limit tak hingga bentuk akar 1 3 istana mengajar untuk membantu mutu pendidikan di indonesia kami selalu berkontribusi membagikan soal soal agar dapat siswa belajar dan paham hitungan mtk.
Berbagi
Posting Komentar
untuk "Contoh Soal Limit Tak Hingga Bentuk Akar - Contoh Soal Limit Akar - Nilai limit dalam bentuk polinomial tergantung berdasarkan dari pangkat yang tertinggi dari polinomial tersebut."
Posting Komentar untuk "Contoh Soal Limit Tak Hingga Bentuk Akar - Contoh Soal Limit Akar - Nilai limit dalam bentuk polinomial tergantung berdasarkan dari pangkat yang tertinggi dari polinomial tersebut."